آخرین خبرها
  مجوز اوریه برای پرسپولیس صادر نشد!
  شوک دوباره به پرسپولیس؛ ستاره گران‌قیمت مصدوم شد!
  افزایش طلاق در میان سالمندان؛ علت چیست؟
  سورپرایز سردار آزمون در سوییس
  واکنش کاخ سفید به عدم دستیابی ترامپ به جایزه صلح نوبل
 
- اندازه متن: + -  کد خبر: 33268صفحه نخست » آخرین اخبار    جمعه، 18 مهر 1404 - 11:12

متن کامل توافق آتش‌بس در غزه منتشر شد + تصویر سند


منابع خبری متن کامل توافق میان حماس و اسراییل در خصوص توقف جنگ و تبادل اسرای دو طرف را منتشر کردند.

به نقل از تسنیم، طبق سندی که در رسانه های بین المللی منتشر شده است، متن توافق میان حماس و رژیم اسراییل که روز گذشته به امضای طرفین رسید از این قرار است:

6305256

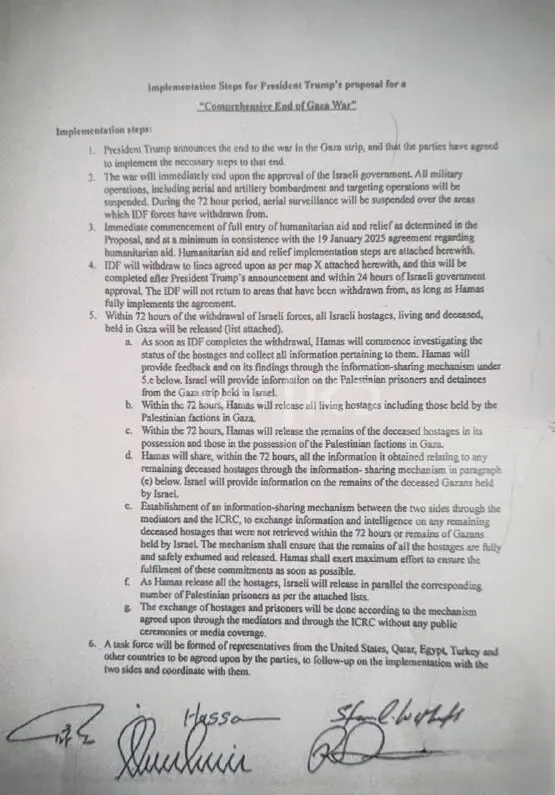
مراحل اجرایی پیشنهاد رییس جمهور ترامپ برای پایان جامع جنگ غزه

مراحل اجرا:

1. رییس جمهور ترامپ پایان جنگ در نوار غزه را اعلام می کند و طرفین توافق کرده اند که گام های لازم را برای این منظور بردارند.

2. جنگ بلافاصله پس از تأیید دولت اسراییل پایان خواهد یافت. تمام عملیات نظامی، از جمله بمباران نظامی و توپخانه ای و عملیات هدف گیری، به حالت تعلیق در خواهد آمد. در طول 72 ساعت، نظارت هوایی بر مناطقی که نیروهای دفاعی اسراییل از آنها عقب نشینی کرده اند، به حالت تعلیق در خواهد آمد.

3. آغاز فوری ورود کامل کمک های بشردوستانه و امدادی، همانطور که در پیشنهاد تعیین شده است و حداقل مطابق با توافق نامه 19 ژانویه 2025 در مورد کمک های بشردوستانه. مراحل اجرای کمک های بشردوستانه و امدادی به پیوست ارائه شده است.

4. ارتش اسراییل به خطوط مورد توافق طبق نقشه X پیوست این سند عقب نشینی خواهد کرد و این امر پس از اعلام رییس جمهور ترامپ و ظرف 24 ساعت پس از تأیید دولت اسراییل تکمیل خواهد شد. ارتش اسراییل تا زمانی که حماس به طور کامل توافق را اجرا کند، به مناطقی که از آنها عقب نشینی کرده است، باز نخواهد گشت.

5. ظرف 72 ساعت پس از عقب نشینی نیروهای اسراییلی، تمام گروگان های اسراییلی، چه زنده و چه فوت شده، در غزه آزاد خواهند شد (لیست پیوست است).

الف. به محض اینکه نیروهای اسراییل عقب نشینی را تکمیل کنند، حماس بررسی وضعیت گروگان ها را آغاز کرده و تمام اطلاعات مربوط به آنها را جمع آوری خواهد کرد. حماس از طریق مکانیسم اشتراک گذاری اطلاعات ذیل بند 5.ه زیر، بازخورد و یافته های خود را ارائه خواهد داد. اسراییل اطلاعات مربوط به زندانیان و بازداشت شدگان فلسطینی از نوار غزه که در اسراییل نگهداری می شوند را ارائه خواهد کرد.

ب. حماس ظرف 72 ساعت تمام گروگان های زنده، از جمله گروگان های گروه های فلسطینی در غزه را آزاد خواهد کرد.

ج. حماس ظرف 72 ساعت، بقایای گروگان های متوفی که در اختیار خود و گروه های فلسطینی در غزه هستند را آزاد خواهد کرد.

د. حماس ظرف 72 ساعت، تمام اطلاعات به دست آمده در مورد گروگان های فوت شده باقی مانده را از طریق مکانیسم اشتراک گذاری اطلاعات در بند (ه) زیر به اشتراک خواهد گذاشت. اسراییل اطلاعات مربوط به بقایای افراد فوت شده غزه که در اسارت اسراییل هستند را ارائه خواهد کرد.

ج. ایجاد یک سازوکار تبادل اطلاعات بین دو طرف از طریق میانجیگران و کمیته بین المللی صلیب سرخ، برای تبادل اطلاعات و اخبار مربوط به هرگونه گروگان فوت شده باقی مانده که ظرف 72 ساعت پس گرفته نشده اند یا بقایای ساکنان غزه که در اسارت اسراییل هستند. این سازوکار تضمین می کند که بقایای همه گروگان ها به طور کامل و ایمن از گور بیرون آورده شده و آزاد شوند. حماس تمام تلاش خود را برای اطمینان از اجرای این تعهدات در اسرع وقت به کار خواهد گرفت.

و. همزمان با آزادی گروگان ها توسط حماس، اسراییل نیز به موازات آن، تعداد متناظری از زندانیان فلسطینی را طبق فهرست های پیوست آزاد خواهد کرد.

8. تبادل گروگان ها و زندانیان طبق سازوکار مورد توافق از طریق میانجی ها و از طریق کمیته بین المللی صلیب سرخ و بدون هیچ گونه مراسم عمومی یا پوشش رسانه ای انجام خواهد شد.

6. یک گروه ویژه متشکل از نمایندگان ایالات متحده، قطر، مصر، ترکیه و سایر کشورهایی که مورد توافق طرفین قرار خواهند گرفت، تشکیل خواهد شد تا روند اجرا را با دو طرف پیگیری و با آنها هماهنگی کند.

   
  

نظر شما:
نام:
پست الکترونیکی:
آدرس وب:
عنوان:
نظر
  قبل از ارسال نظر آنرا ویرایش کرده و قواعد نگارش را در آن رعایت کنید.
لطفاً در مطالب خود اخلاق اسلامی و قوانین کشور را مد نظر داشته باشید.
نمایش نظرات کاربران در خبرها به معنای تایید آنها توسط سایت نیست.

  کد امنیتی:
 
شوک دوباره به پرسپولیس؛ ستاره گران‌قیمت مصدوم شد!
  شوک دوباره به پرسپولیس؛ ستاره گران‌قیمت مصدوم شد!
رضا شکاری در تمرین امروز تیم پرسپولیس غایب بود.
مبلغ یارانه مهر 1404 مشخص شد
  مبلغ یارانه مهر 1404 مشخص شد
جزییات پرداخت یارانه مهر 1404 برای دهک‌های اول تا نهم را در این گزارش بخوانید.
زمانی که خواننده های امروز، استایل زیرخاکی داشتند!/از بهنام بانی تا آرون افشار/ویدیو
  زمانی که خواننده های امروز، استایل زیرخاکی داشتند!/از بهنام بانی تا آرون افشار/ویدیو
ویدیویی از خوانندگان کشورمان قبل از معروف شدن در فضای مجازی پربازدید شده است.
این زن قدرت اصلی در عربستان است
  این زن قدرت اصلی در عربستان است
در راس پروژه فرهنگی بن سلمان که تلاش دارد قدرت ژئوپلیتیک عربستان را بیشتر از همیشه کند، جمانا الراشد قرار دارد که علی رغم سن کم به شدت موفق بوده و توانسته اقدامات مهمی انجام دهد.
استایل پاییزی همسر بهرام رادان: مینا مختاری با تِم جین جدیدترین سلفی خود را منتشر کرد!
  استایل پاییزی همسر بهرام رادان: مینا مختاری با تِم جین جدیدترین سلفی خود را منتشر کرد!
همسر بهرام رادان، مینا مختاری، به تازگی سلفی جدیدی را با استایل پاییزی در فضای مجازی منتشر کرده است.
افشاگری ویکتوریا بکهام درباره زندگی شخصی‌ اش
  افشاگری ویکتوریا بکهام درباره زندگی شخصی‌ اش
در مستند جدید ویکتوریا بکهام، او صادقانه درباره زندگی شخصی و حرفه‌ای خود سخن می‌گوید.
واکنش امیرحسین فتحی به شایعات ارتباط پدرش با خانم بازیگر/ویدیو
  واکنش امیرحسین فتحی به شایعات ارتباط پدرش با خانم بازیگر/ویدیو
اخیرا شایعاتی در خصوص ازدواج پریناز ایزدیار بازیگری سینما و تلویزیون در فضای مجازی منتشر شده است.
«حنظله»، سیستم سوخت اسراییل را هک کرد
  «حنظله»، سیستم سوخت اسراییل را هک کرد
گروه سایبری حنظله با انتشار تصاویری اعلام کرد که سیستم سوخت رژیم صهیونی را هک کرده است. گروه سایبری حنظله با انتشار تصاویری اعلام کرد که سیستم سوخت رژیم صهیونی را هک کرده است.
برنده جایزه صلح نوبل 2025 کیست؟
  برنده جایزه صلح نوبل 2025 کیست؟
کمیته جایزه صلح نوبل امروز جمعه رییس مخالفان دولت ونزوئلا را به عنوان برنده این جایزه انتخاب کرد. کمیته جایزه صلح نوبل امروز جمعه رییس مخالفان دولت ونزوئلا را به عنوان برنده این جایزه انتخاب کرد.
بیت‌کوین از قله تاریخی فاصله گرفت
  بیت‌کوین از قله تاریخی فاصله گرفت
بیت‌کوین پس از رسیدن به رکوردهای قیمتی در اوایل هفته جاری، در مواجهه با برخی سودگیری‌ها، در معاملات روز جمعه عقب‌نشینی کرد.
تحریم‌های ضد چینی آمریکا به‌خاطر خرید نفت ایران
  تحریم‌های ضد چینی آمریکا به‌خاطر خرید نفت ایران
وزارت خزانه‌داری آمریکا اعلام کرد این چهارمین دور از تحریم‌هایی است که دولت در آن پالایشگاه‌های چینی خریدار نفت ایران را هدف قرارداده است.
خودکشی منجر به فوت یک سرایدار مدرسه در کرج
  خودکشی منجر به فوت یک سرایدار مدرسه در کرج
در پی وقوع حادثه‌ای تلخ، یک سرایدار در یک مدرسه دولتی در کرج بر اثر خودکشی جان خود را از دست داد. بنا بر اعلام اداره آموزش و پرورش ناحیه 3، بررسی ابعاد و علل این حادثه از سوی مسئولان استانی در دست انجام است.
  پربیننده ترین اخبار       
  ابوطالب خیلی شیک اسم بازیکن فوتبالی که خواستگار نفیسه روشن بود را لو داد/ویدیو
  قیمت طلا و سکه امروز همه را غافلگیر کرد! | سورپرایز بازار در جمعه 18 مهر 1404
  قدردانی ترامپ از ایران/ «تهران ممنون!»
  لحظه ورود «سون بند» با ماشین خاص به فضای باز برج میلاد برای اجرای کنسرت!⁩/ویدیو
  متن کامل توافق آتش‌بس در غزه منتشر شد + تصویر سند
  معمای سکوت نیوشا ضیغمی: بازیگر مشهور از "سنگین‌ترین دردها" گفت!
  رییس‌جمهور پرو برکنار شد
  واکنش چین به تحریم‌های آمریکا علیه کشتی‌های حامل نفت ایران
  خودکشی منجر به فوت یک سرایدار مدرسه در کرج
  استایل متفاوت پاییزی مونا فائزپور در اکران فیلم لاک‌پشت خبرساز شد!
  تغییر بزرگ در پرداخت کالابرگ/ دولت دست به کار شد
  در استقلال همه ساز خود را می زنند
  پژمان جمشیدی و عباس قادری در کنار هم/ویدیو
  الناز حبیبی هم با یک تیپ مانکنی مدل عینک شد / عکس
  سلفی جدید و زیبایی که نفس بازغی منتشر کرد
  آغاز شرایط فروش نقد و اقساط KMC SR3 توسط کرمان موتور
  «حنظله»، سیستم سوخت اسراییل را هک کرد
  قیمت جدید طلا و سکه 18 مهرماه 1404
  صعود واترپلو ایران به فینال آسیا با شکست سامورایی‌ها
  «رضا عطاران» در کنار «محسن چاوشی»/عکس
© شبکه خبری رونگار 1404

All rights reserved